关于进一步明确聚碳酸酯反倾销案被调查产品具体描述的通知

发布时间:2023-03-08 09:39 信息来源: 来源:中国贸易救济信息网

加大字体| 缩小字体| 收藏| |
相关文章:

  【发布单位】贸易救济局 

  【发布文号】商救济进四局函〔2023〕10号 

  【发文日期】2023年02月27日 

  各利害关系方: 

  2022年11月30日,中华人民共和国商务部(以下称调查机关)发布年度第35号公告,决定对原产于台湾地区的进口聚碳酸酯进行反倾销调查。立案后,应利害关系方申请,经审查立案申请书及相关评论意见,12月26日,调查机关初步澄清改性聚碳酸酯不在本次被调查产品范围之列。 

  截止12月29日,台湾地区奇美实业股份有限公司等6家公司向调查机关提交评论意见,申请进一步明确被调查产品具体描述,以便海关准确执行措施。 

  经审查,上述公司评论意见中提及的生产工序、原材料或产品规格型号不宜作为海关执行措施的标准。调查机关注意到,申请人提出以分子结构中含碳酸酯基结构的质量占比作为标准,台湾地区工业总会、台湾化学纤维股份有限公司、台化出光石油化学股份有限公司、奇美实业股份有限公司、奇菱科技股份有限公司提出以胶粒中聚碳酸酯比重(以重量计)99%作为划分标准。为保证措施可执行性,调查机关决定进一步明确本案被调查产品具体描述如下: 

  被调查产品名称:聚碳酸酯。 

  英文名称:Polycarbonate,简称PC。 

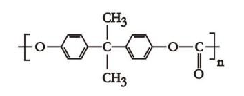
  结构式: 

   

  

  物化特性:被调查产品是分子主链含双酚A型碳酸酯基结构的高分子聚合物,外观通常为透明的圆柱状或球形粒子或固体粉末,具有抗冲击强度高、加工性能好、透光率高、耐热及耐寒性好等性能。

  

  主要用途:聚碳酸酯可用于电子电器、板材/薄膜、汽车、光学、包装、医疗器械、安全防护等诸多领域。 

  该产品归在《中华人民共和国进出口税则》:39074000。该税则号项下双酚A型聚碳酸酯按重量计含量小于99%的产品不在本次被调查产品范围之列。 

  各利害关系方可就进一步明确后的被调查产品具体描述提交评论意见。如需修改或补充提交调查问卷答卷,请于本通知发放之日起10日内通过“贸易救济调查信息化平台”(https://etrb.mofcom.gov.cn)提交电子版本(含公开和保密版本),同时向我局提交纸质版本。电子版本和纸质版本内容应相同,格式应保持一致。调查问卷可在商务部网站贸易救济调查局子网站案件动态栏目(http://trb.mofcom.gov.cn)或中国贸易救济信息网(http://www.cacs.gov.cn)下载。 

  各利害关系方应按要求在规定时限内如实填写并提交完整准确的答卷(公开版和保密版)。如出现《中华人民共和国反倾销条例》第二十一条规定的情况,调查机关可以根据已经获得的事实和可获得的最佳信息作出裁定。 

  如有疑问,可向本案经办人员咨询。 

  联系电话:(010)65198474、85093410 

  贸易救济调查局 

  2023年2月27日